Упражнение 51.1 ГДЗ Мерзляк 10 класс Углубленный уровень (Алгебра)
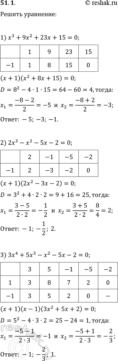
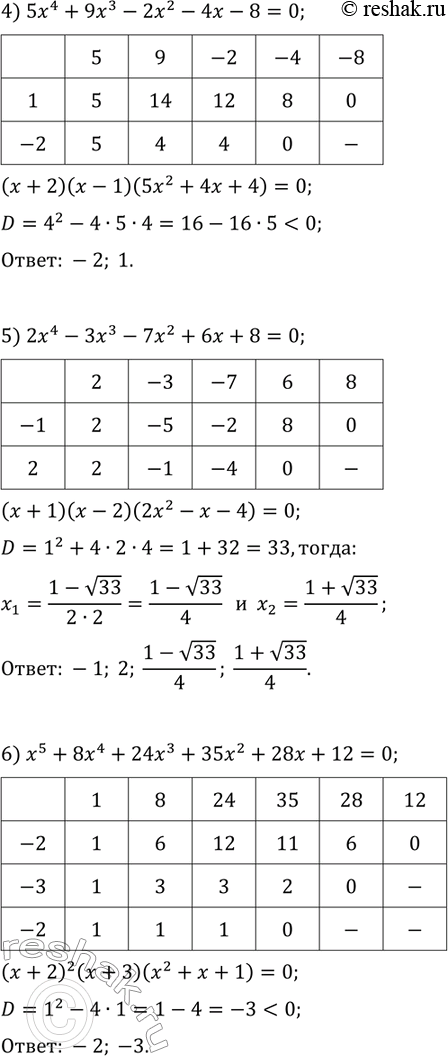
51.1. Решите уравнение: 1) x^3+9x^2+23x+15=0; 2) 2x^3-x^2-5x-2=0; 3) 3x^4+5x^3-x^2-5x-2=0; 4) 5x^4+9x^3-2x^2-4x-8=0; 5) 2x^4-3x^3-7x^2+6x+8=0; 6) x^5+8x^4+24x^3+35x^2+28x+12=0. *Цитирирование задания со ссылкой на учебник производится исключительно в учебных целях для лучшего понимания разбора решения задания.


Ниже вариант решения задания из учебника Мерзляк, Номировский, Поляков 10 класс, Просвещение:
51.1. Решите уравнение:
1) x^3+9x^2+23x+15=0;
2) 2x^3-x^2-5x-2=0;
3) 3x^4+5x^3-x^2-5x-2=0;
4) 5x^4+9x^3-2x^2-4x-8=0;
5) 2x^4-3x^3-7x^2+6x+8=0;
6) x^5+8x^4+24x^3+35x^2+28x+12=0.
