Упражнение 51.2 ГДЗ Мерзляк 10 класс Углубленный уровень (Алгебра)
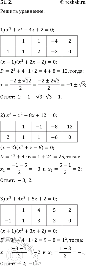
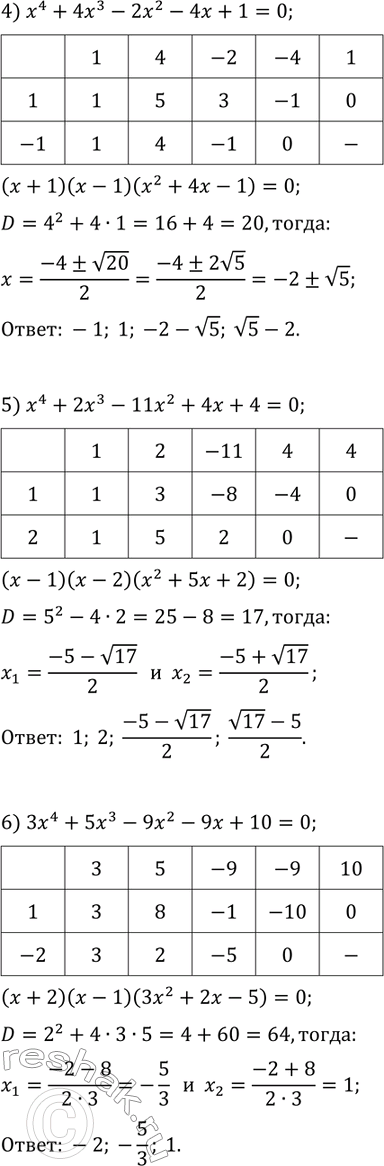
51.2. Решите уравнение: 1) x^3+x^2-4x+2=0; 4) x^4+4x^3-2x^2-4x+1=0; 2) x^3-x^2-8x+12=0; 5) x^4+2x^3-11x^2+4x+4=0; 3) x^3+4x^2+5x+2=0; 6) 3x^4+5x^3-9x^2-9x+10=0. *Цитирирование задания со ссылкой на учебник производится исключительно в учебных целях для лучшего понимания разбора решения задания.


Ниже вариант решения задания из учебника Мерзляк, Номировский, Поляков 10 класс, Просвещение:
51.2. Решите уравнение:
1) x^3+x^2-4x+2=0; 4) x^4+4x^3-2x^2-4x+1=0;
2) x^3-x^2-8x+12=0; 5) x^4+2x^3-11x^2+4x+4=0;
3) x^3+4x^2+5x+2=0; 6) 3x^4+5x^3-9x^2-9x+10=0.
