Упражнение 52.3 ГДЗ Мерзляк 10 класс Углубленный уровень (Алгебра)
52.3. Докажите, что при любом натуральном n выполняется равенство: 1) 1+2+3+...+n=n(n+1)/2; 2) 1^3+2^3+3^3+...+n^3=(n(n+1)/2)^2; 3) 1^2+2^2+3^2+...+n^2=n(n+1)(2n+1)/6; 4) 1^2+3^2+5^2+...+(2n-1)^2=n(4n^2-1)/3. *Цитирирование задания со ссылкой на учебник производится исключительно в учебных целях для лучшего понимания разбора решения задания.


Ниже вариант решения задания из учебника Мерзляк, Номировский, Поляков 10 класс, Просвещение:
52.3. Докажите, что при любом натуральном n выполняется равенство:
1) 1+2+3+...+n=n(n+1)/2;
2) 1^3+2^3+3^3+...+n^3=(n(n+1)/2)^2;
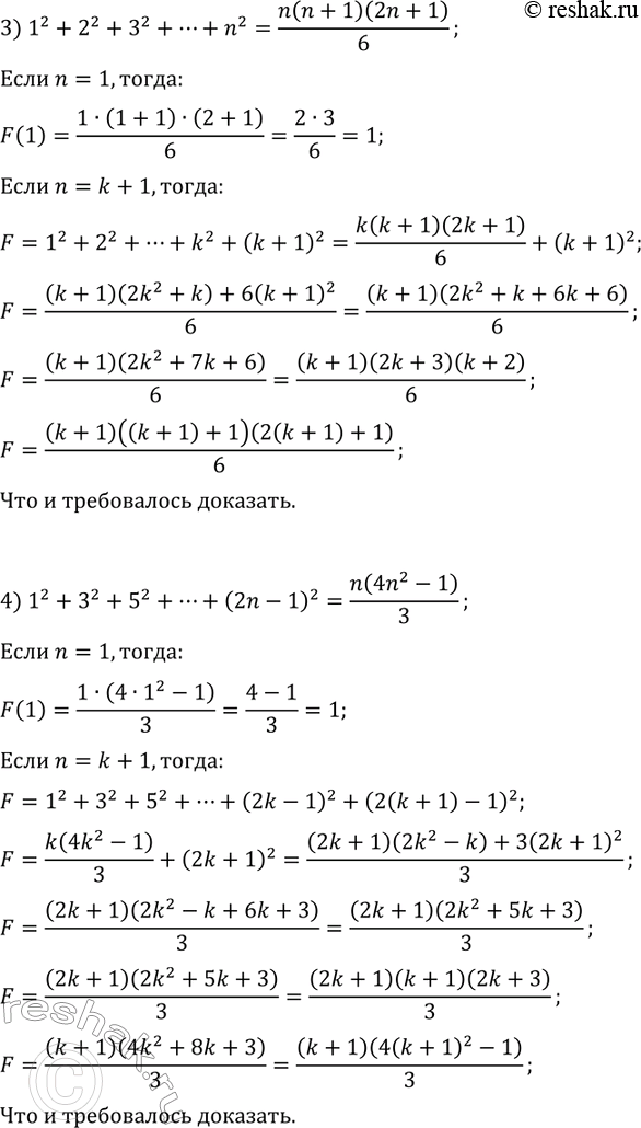
3) 1^2+2^2+3^2+...+n^2=n(n+1)(2n+1)/6;
4) 1^2+3^2+5^2+...+(2n-1)^2=n(4n^2-1)/3.
