Упражнение 8.11 ГДЗ Мерзляк 10 класс Углубленный уровень (Алгебра)
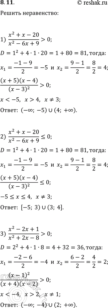
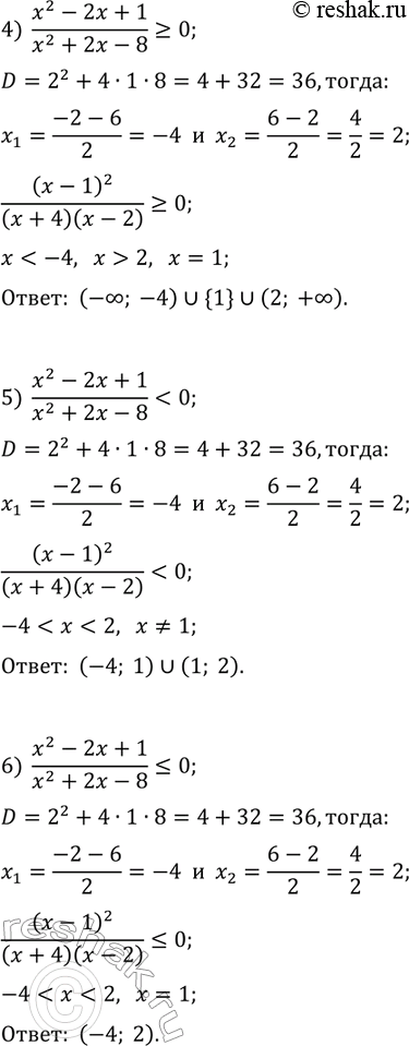
8.11. Решите неравенство: 1) (x^2+x-20)/(x^2-6x+9) > 0; 3) (x^2-2x+1)/(x^2+2x-8) > 0; 5) (x^2-2x+1)/(x^2+2x-8) 2) (x^2+x-20)/(x^2-6x+9)?0; 4) (x^2-2x+1)/(x^2+2x-8)?0; 6) (x^2-2x+1)/(x^2+2x-8)?0. *Цитирирование задания со ссылкой на учебник производится исключительно в учебных целях для лучшего понимания разбора решения задания.


Ниже вариант решения задания из учебника Мерзляк, Номировский, Поляков 10 класс, Просвещение:
8.11. Решите неравенство:
1) (x^2+x-20)/(x^2-6x+9) > 0; 3) (x^2-2x+1)/(x^2+2x-8) > 0; 5) (x^2-2x+1)/(x^2+2x-8)
2) (x^2+x-20)/(x^2-6x+9)?0; 4) (x^2-2x+1)/(x^2+2x-8)?0; 6) (x^2-2x+1)/(x^2+2x-8)?0.
