Упражнение 8.6 ГДЗ Мерзляк 10 класс Углубленный уровень (Алгебра)
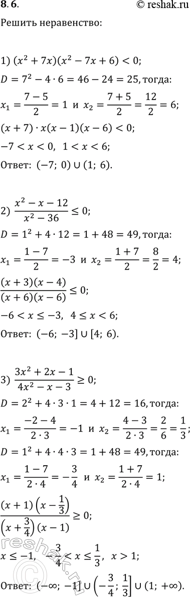
8.6. Найдите множество решений неравенства: 1) (x^2+7x)(x^2-7x+7) 2) (x^2-x-12)/(x^2-36)?0; 3) (3x^2+2x-1)/(4x^2-x-3)?0. *Цитирирование задания со ссылкой на учебник производится исключительно в учебных целях для лучшего понимания разбора решения задания.

Ниже вариант решения задания из учебника Мерзляк, Номировский, Поляков 10 класс, Просвещение:
8.6. Найдите множество решений неравенства:
1) (x^2+7x)(x^2-7x+7)
2) (x^2-x-12)/(x^2-36)?0;
3) (3x^2+2x-1)/(4x^2-x-3)?0.
