Упражнение 8.7 ГДЗ Мерзляк 10 класс Углубленный уровень (Алгебра)
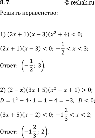
8.7. Решите неравенство: 1) (2x+1)(x-3)(x^2+4) 2) (2-x)(3x+5)(x^2-x+1) > 0. *Цитирирование задания со ссылкой на учебник производится исключительно в учебных целях для лучшего понимания разбора решения задания.

Ниже вариант решения задания из учебника Мерзляк, Номировский, Поляков 10 класс, Просвещение:
8.7. Решите неравенство:
1) (2x+1)(x-3)(x^2+4)
2) (2-x)(3x+5)(x^2-x+1) > 0.
