Упражнение 8.12 ГДЗ Мерзляк 10 класс Углубленный уровень (Алгебра)
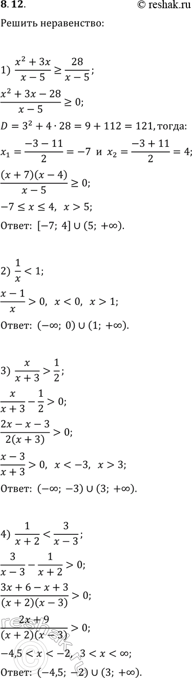
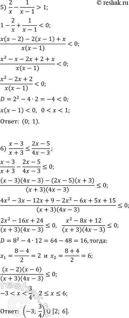
8.12. Решите неравенство: 1) (x^2+3x)/(x-5)?28/(x-5); 3) x/(x+3) > 1/2; 5) 2/x-1/(x-1) > 1; 2) 1/x *Цитирирование задания со ссылкой на учебник производится исключительно в учебных целях для лучшего понимания разбора решения задания.


Ниже вариант решения задания из учебника Мерзляк, Номировский, Поляков 10 класс, Просвещение:
8.12. Решите неравенство:
1) (x^2+3x)/(x-5)?28/(x-5); 3) x/(x+3) > 1/2; 5) 2/x-1/(x-1) > 1;
2) 1/x
