Упражнение 8.8 ГДЗ Мерзляк 10 класс Углубленный уровень (Алгебра)
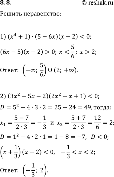
8.8. Решите неравенство: 1) (x^4+1)(5-6x)(x-2) 2) (3x^2-5x-2)(2x^2+x+1) *Цитирирование задания со ссылкой на учебник производится исключительно в учебных целях для лучшего понимания разбора решения задания.
Ниже вариант решения задания из учебника Мерзляк, Номировский, Поляков 10 класс, Просвещение:
8.8. Решите неравенство:
1) (x^4+1)(5-6x)(x-2)
2) (3x^2-5x-2)(2x^2+x+1)

