Упражнение 10.1 ГДЗ Мерзляк 11 класс Базовый уровень (Алгебра)
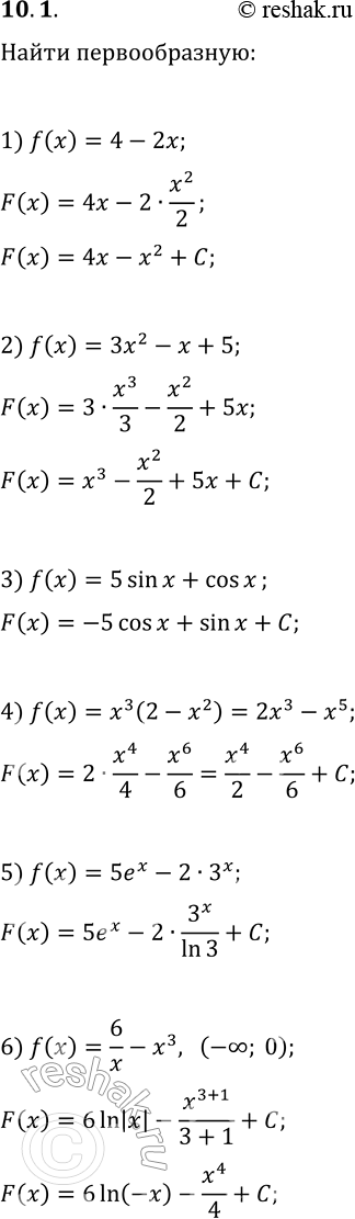
10.1. Найдите общий вид первообразных функции: 1) f(x)=4-2x; 2) f(x)=3x^2-x+5; 3) f(x)=5sin(x)+cos(x); 4) f(x)=x^3 (2-x^2); 5) f(x)=5e^x-2·3^x; 6) f(x)=6/x-x^3 на промежутке (-?;


Ниже вариант решения задания из учебника Мерзляк, Номировский, Полонский 11 класс, Просвещение:
10.1. Найдите общий вид первообразных функции:
1) f(x)=4-2x;
2) f(x)=3x^2-x+5;
3) f(x)=5sin(x)+cos(x);
4) f(x)=x^3 (2-x^2);
5) f(x)=5e^x-2·3^x;
6) f(x)=6/x-x^3 на промежутке (-?; 0);
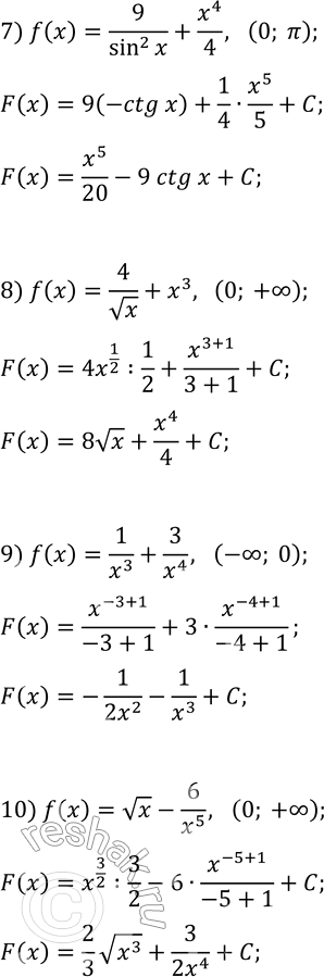
7) f(x)=9/sin^2(x)+x^4/4 на промежутке (0; ?);
8) f(x)=4/vx+x^3 на промежутке (0; +?);
9) f(x)=1/x^3+3/x^4 на промежутке (-?; 0);
10 f(x)=vx-6/x^5 на промежутке (0; +?).
