Упражнение 10.5 ГДЗ Мерзляк 11 класс Базовый уровень (Алгебра)
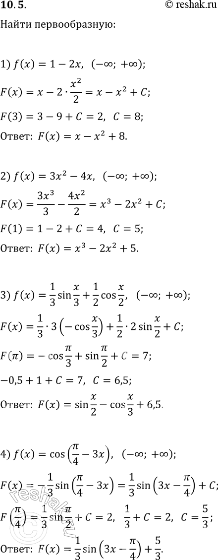
10.5. Для функции f на промежутке I найдите первообразную F, удовлетворяющую данному условию: 1) f(x)=1-2x, I=(-?; +?), F(3)=2; 2) f(x)=3x^2-4x, I=(-?;



Ниже вариант решения задания из учебника Мерзляк, Номировский, Полонский 11 класс, Просвещение:
10.5. Для функции f на промежутке I найдите первообразную F, удовлетворяющую данному условию:
1) f(x)=1-2x, I=(-?; +?), F(3)=2;
2) f(x)=3x^2-4x, I=(-?; +?), F(1)=4;
3) f(x)=(1/3)sin(x/3)cos(x/2), I=(-?; +?), F(?)=7;
4) f(x)=cos(?/4-3x), I=(-?; +?), F(?/4)=2;
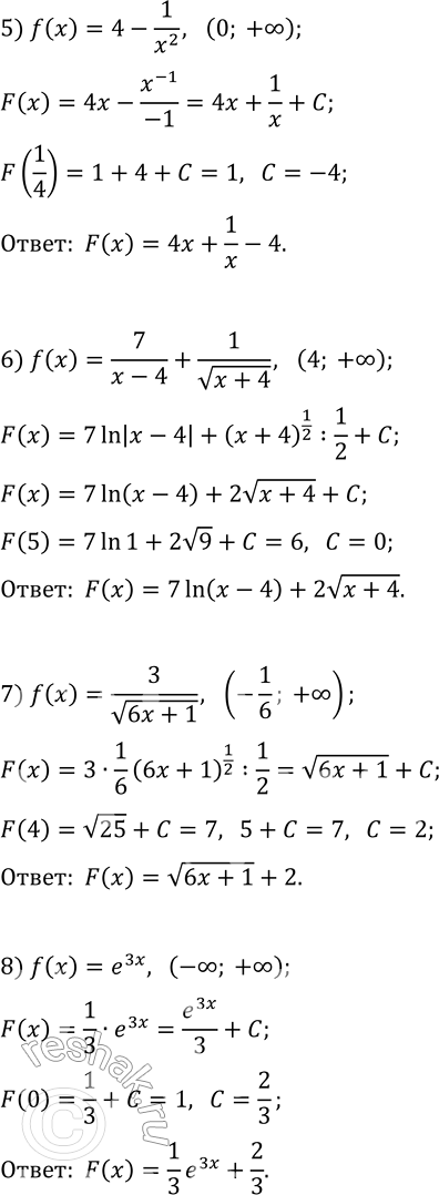
5) f(x)=4-1/x^2, I=(0; +?), F(1/4)=1;
6) f(x)=7/(x-4)+1/v(x+4), I=(4; +?), F(5)=6;
7) f(x)=3/v(6x+1), I=(-1/6; +?), F(4)=7;
8) f(x)=e^(3x), I=(-?; +?), F(0)=1;
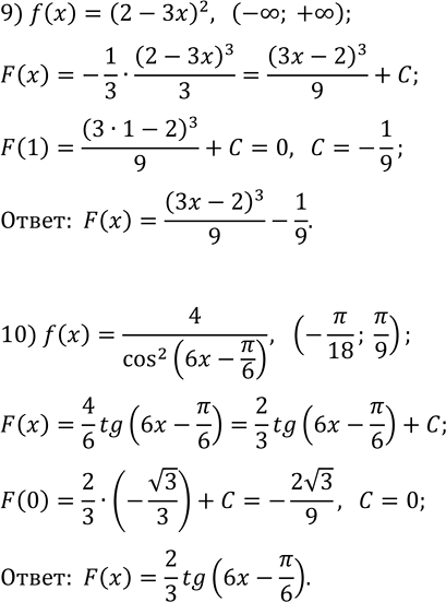
9) f(x)=(2-3x)^2, I=(-?; +?), F(1)=0;
10) f(x)=4/cos^2(6x-?/6), I=(-?/18; ?/9), F(0)=-2v3/9.
