Упражнение 10.4 ГДЗ Мерзляк 11 класс Базовый уровень (Алгебра)
10.4. Найдите общий вид первообразных функции: 1) f(x)=sin(x/4); 2) f(x)=2cos(?/6-x); 3) f(x)=e^(5-x/2); 4) f(x)=1/2^(3x+5); 5) f(x)=(2x-3)^5; 6) f(x)=1/cos^2(2x-?/4) на промежутке (-?/8;


Ниже вариант решения задания из учебника Мерзляк, Номировский, Полонский 11 класс, Просвещение:
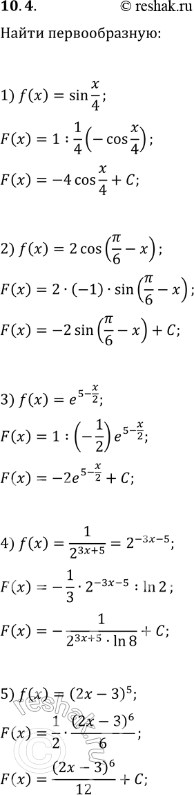
10.4. Найдите общий вид первообразных функции:
1) f(x)=sin(x/4);
2) f(x)=2cos(?/6-x);
3) f(x)=e^(5-x/2);
4) f(x)=1/2^(3x+5);
5) f(x)=(2x-3)^5;
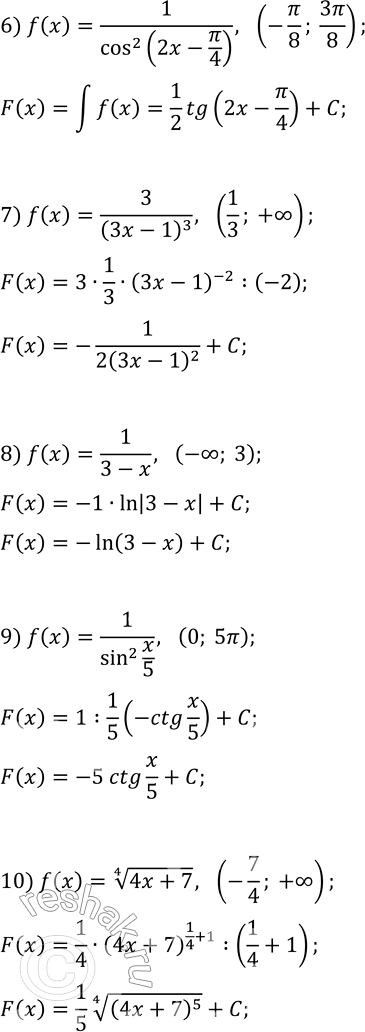
6) f(x)=1/cos^2(2x-?/4) на промежутке (-?/8; 3?/8);
7) f(x)=3/(3x-1)^3 на промежутке (1/3; +?);
8) f(x)=1/(3-x) на промежутке (-?; 3);
9) f(x)=1/sin^2(x/5) на промежутке (0; 5?);
10) f(x)=(4x+7)^(1/4) на промежутке (-7/4; +?).
