Упражнение 10.3 ГДЗ Мерзляк 11 класс Базовый уровень (Алгебра)
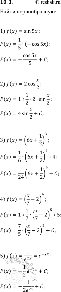
10.3. Найдите общий вид первообразных функции: 1) f(x)=sin(5x); 2) f(x)=2cos(x/2); 3) f(x)=(6x+1/2)^3; 4) f(x)=(x/7-2)^4; 5) f(x)=1/e^(2x); 6) f(x)=7^(3x); 7) f(x)=(-1/3)sin(x/3-?/4); 8) f(x)=1/cos^2(3x) на промежутке (-?/6;



Ниже вариант решения задания из учебника Мерзляк, Номировский, Полонский 11 класс, Просвещение:
10.3. Найдите общий вид первообразных функции:
1) f(x)=sin(5x);
2) f(x)=2cos(x/2);
3) f(x)=(6x+1/2)^3;
4) f(x)=(x/7-2)^4;
5) f(x)=1/e^(2x);
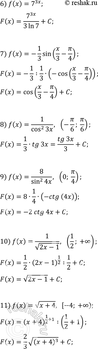
6) f(x)=7^(3x);
7) f(x)=(-1/3)sin(x/3-?/4);
8) f(x)=1/cos^2(3x) на промежутке (-?/6; ?/6);
9) f(x)=8/sin^2(4x) на промежутке (0; ?/4);
10) f(x)=1/v(2x-1) на промежутке (1/2; +?);
11) f(x)=v(x+4) на промежутке [4; +?);
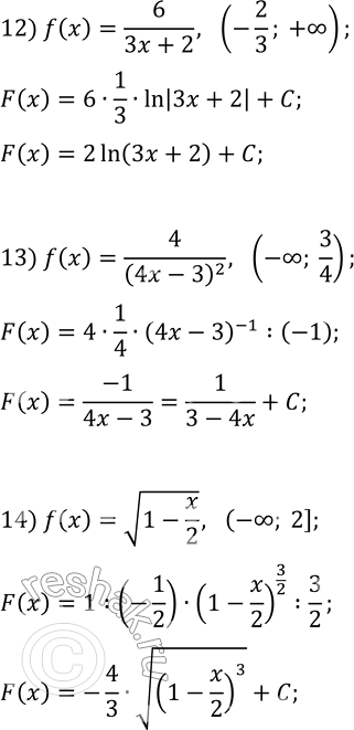
12) f(x)=6/(3x+2) на промежутке (-2/3; +?);
13) f(x)=4/(4x-3)^2 на промежутке (-?; 3/4);
14) f(x)=v(1-x/2) на промежутке (-?; 2].
