Упражнение 10.2 ГДЗ Мерзляк 11 класс Базовый уровень (Алгебра)
10.2. Найдите общий вид первообразных функции: 1) f(x)=x+3; 2) f(x)=x^2+4x-1; 3) f(x)=(x^3+x)/(x^2+1); 4) f(x)=(1/2)e^x+2^x ln 2; 5) f(x)=9/cos^2(x)-3sin(x) на промежутке (-?/2;


Ниже вариант решения задания из учебника Мерзляк, Номировский, Полонский 11 класс, Просвещение:
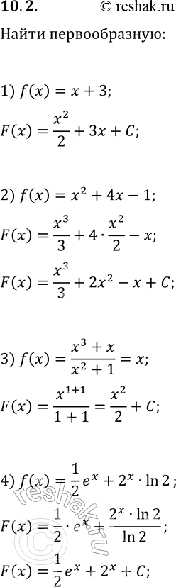
10.2. Найдите общий вид первообразных функции:
1) f(x)=x+3;
2) f(x)=x^2+4x-1;
3) f(x)=(x^3+x)/(x^2+1);
4) f(x)=(1/2)e^x+2^x ln 2;
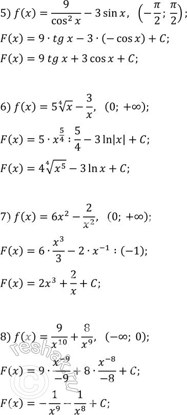
5) f(x)=9/cos^2(x)-3sin(x) на промежутке (-?/2; ?/2);
6) f(x)=5x^(1/4)-3/2 на промежутке (0; +?);
7) f(x)=6x^2-2/x^2 на промежутке (0; +?);
8) f(x)=9/x^10+8/x^9 на промежутке (-?; 0).
