Упражнение 10.6 ГДЗ Мерзляк 11 класс Базовый уровень (Алгебра)
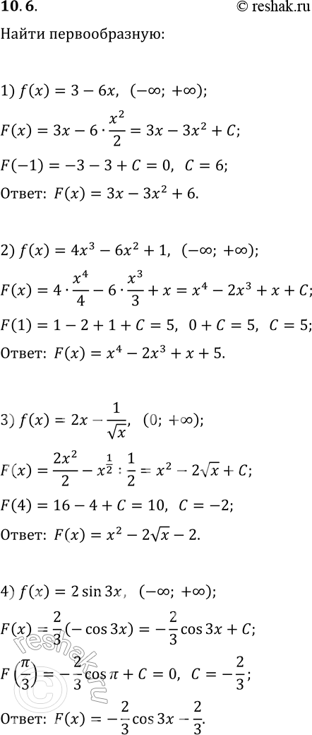
10.6. Для функции f на промежутке I найдите первообразную F, график которой проходит через данную точку: 1) f(x)=3-6x, I=(-?; +?), A(-1;


Ниже вариант решения задания из учебника Мерзляк, Номировский, Полонский 11 класс, Просвещение:
10.6. Для функции f на промежутке I найдите первообразную F, график которой проходит через данную точку:
1) f(x)=3-6x, I=(-?; +?), A(-1; 0);
2) f(x)=4x^3-6x^2+1, I=(-?; +?), B(1; 5);
3) f(x)=2x-1/vx, I=(0; +?), C(4; 10);
4) f(x)=2sin(3x), I=(-?; +?), D(?/3; 0);
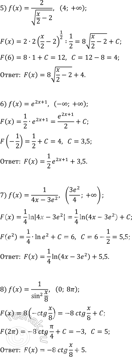
5) f(x)=2/v(x/2-2), I=(4; +?), E(6; 12);
6) f(x)=e^(2x+1), I=(-?; +?), M(-1/2; 4);
7) f(x)=1/(4x-3e^2), I=((3e^2)/4; +?), K(e^2; 6);
8) f(x)=1/sin^2(x/8), I=(0; 8?), N(2?; -2).
