Упражнение 11.1 ГДЗ Мерзляк 11 класс Базовый уровень (Алгебра)
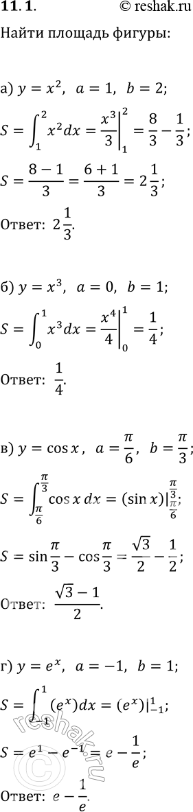
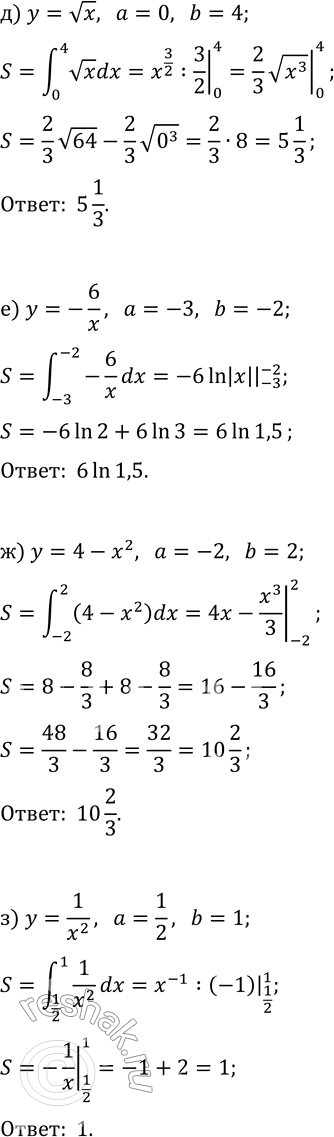
11.1. Найдите площадь криволинейной трапеции, изображённой на рисунке 11.11. *Цитирирование задания со ссылкой на учебник производится исключительно в учебных целях для лучшего понимания разбора решения задания.


Ниже вариант решения задания из учебника Мерзляк, Номировский, Полонский 11 класс, Просвещение:
11.1. Найдите площадь криволинейной трапеции, изображённой на рисунке 11.11.
