Упражнение 11.4 ГДЗ Мерзляк 11 класс Базовый уровень (Алгебра)
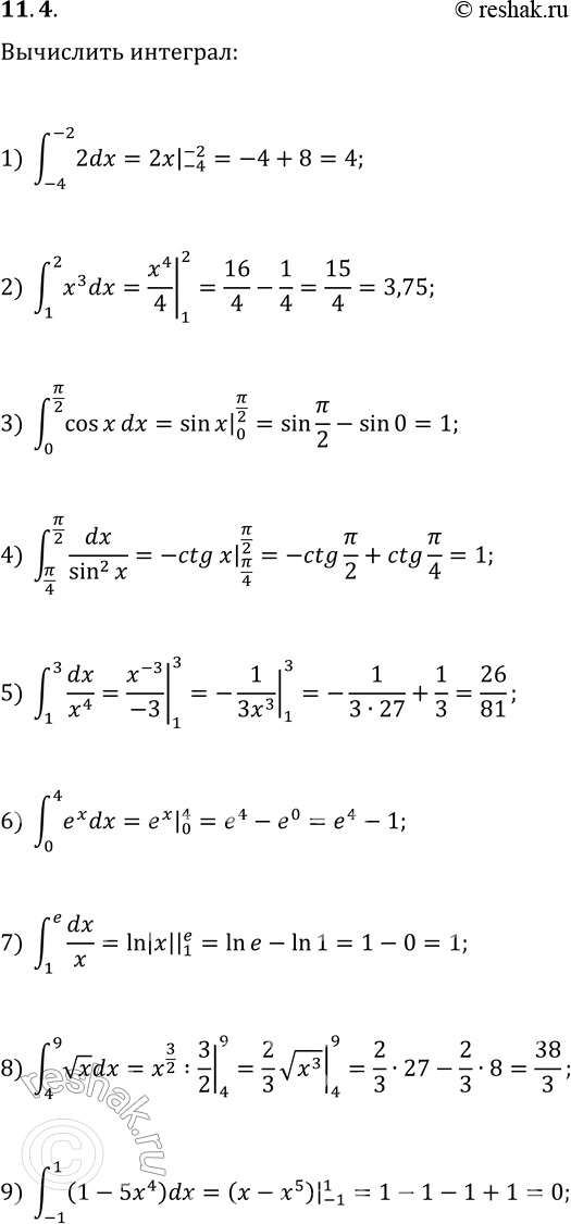
11.4. Вычислите определённый интеграл: 1) ?(-4; -2)2dx; 4) ?(?/4; ?/2)dx/sin^2(x); 7) ?(1; e)dx/x; 2) ?(1; 2)x^3dx; 5) ?(1; 3)dx/x^4; 8) ?(4;

Ниже вариант решения задания из учебника Мерзляк, Номировский, Полонский 11 класс, Просвещение:
11.4. Вычислите определённый интеграл:
1) ?(-4; -2)2dx; 4) ?(?/4; ?/2)dx/sin^2(x); 7) ?(1; e)dx/x;
2) ?(1; 2)x^3dx; 5) ?(1; 3)dx/x^4; 8) ?(4; 9)vxdx;
3) ?(0; ?/2)cos(x)dx; 6) ?(0; 4)e^xdx; 9) ?(-1; 1)(1-5x^4)dx.
