Упражнение 11.3 ГДЗ Мерзляк 11 класс Базовый уровень (Алгебра)
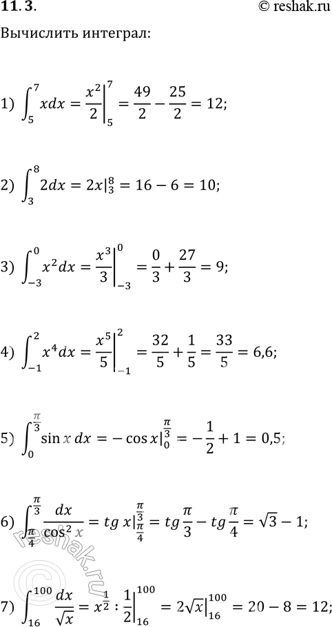
11.3. Вычислите определённый интеграл: 1) ?(5; 7)xdx; 6) ?(?/4; ?/3)dx/cos^2(x); 1) ?(1; 8)x^(1/3)dx; 2) ?(3; 8)dx; 7) ?(16; 100)dx/vx; 12) ?(-4;


Ниже вариант решения задания из учебника Мерзляк, Номировский, Полонский 11 класс, Просвещение:
11.3. Вычислите определённый интеграл:
1) ?(5; 7)xdx; 6) ?(?/4; ?/3)dx/cos^2(x); 1) ?(1; 8)x^(1/3)dx;
2) ?(3; 8)dx; 7) ?(16; 100)dx/vx; 12) ?(-4; -2)(2x+4)dx;
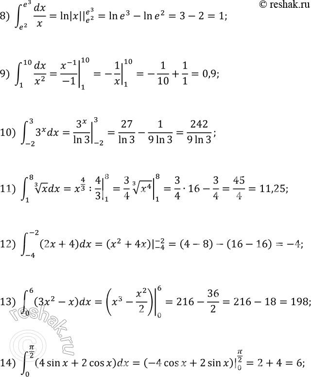
3) ?(-3; 0)x^2dx; 8) ?(e^2; e^3)dx/x; 13) ?(0; 6)(3x^2-x)dx;
4) ?(-1; 2)x^4dx; 9) ?(1; 10)dx/x^2; 14) ?(0; ?/2)(4sin(x)+2cos(x))dx.
5) ?(0; ?/3)sin(x)dx; 10) ?(-2; 3)3^xdx;
