Упражнение 11.5 ГДЗ Мерзляк 11 класс Базовый уровень (Алгебра)
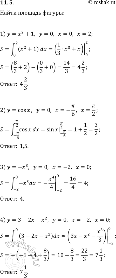
11.5. Найдите площадь криволинейной трапеции, ограниченной: 1) параболой y=x^2+1 и прямыми y=0, x=0, x=2; 2) косинусоидой y=cos(x) и прямыми y=0, x=-?/6, x=?/2;



Ниже вариант решения задания из учебника Мерзляк, Номировский, Полонский 11 класс, Просвещение:
11.5. Найдите площадь криволинейной трапеции, ограниченной:
1) параболой y=x^2+1 и прямыми y=0, x=0, x=2;
2) косинусоидой y=cos(x) и прямыми y=0, x=-?/6, x=?/2;
3) графиком функции y=-x^3 и прямыми y=0, x=-2;
4) параболой y=3-2x-x^2 и прямыми y=0, x=-2, x=0;
5) гиперболой y=1/(2x) и прямыми y=0, x=1/4, x=2;
6) параболой y=2x-x^2 и осью абсцисс;
7) синусоидой y=sin(2x) и прямыми y=0, x=?/12, x=?/4;
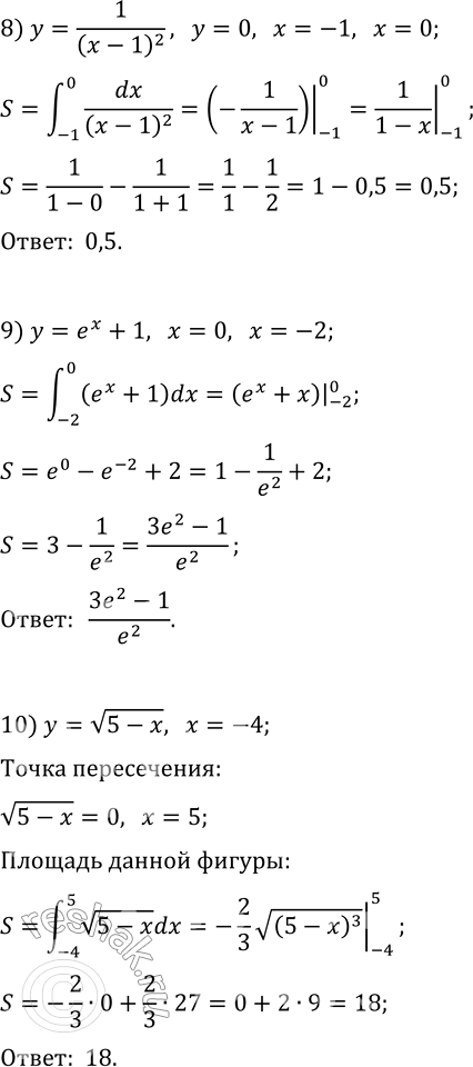
8) графиком функции y=1/(x-1)^2 и прямыми y=0, x=-1, x=0;
9) графиком функции y=e^x+1 и прямыми y=0, x=0, x=-2;
10) графиком функции y=v(5-x) и прямыми y=0, x=-4.
