Упражнение 11.2 ГДЗ Мерзляк 11 класс Базовый уровень (Алгебра)
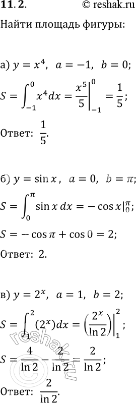
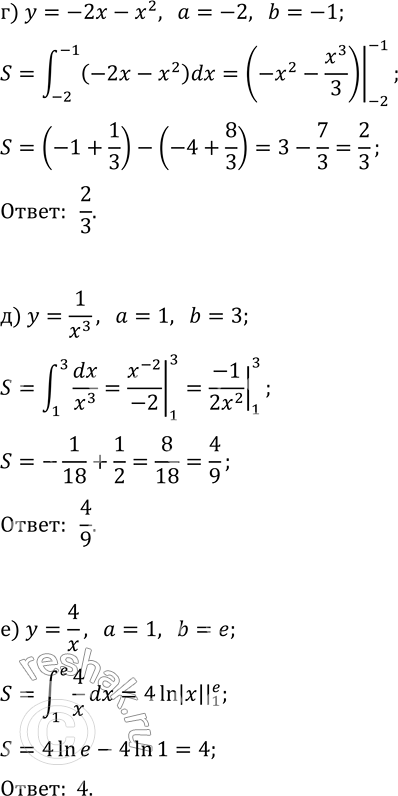
11.2. Найдите площадь криволинейной трапеции, изображённой на рисунке 11.12. *Цитирирование задания со ссылкой на учебник производится исключительно в учебных целях для лучшего понимания разбора решения задания.


Ниже вариант решения задания из учебника Мерзляк, Номировский, Полонский 11 класс, Просвещение:
11.2. Найдите площадь криволинейной трапеции, изображённой на рисунке 11.12.
