Упражнение 11.6 ГДЗ Мерзляк 11 класс Базовый уровень (Алгебра)
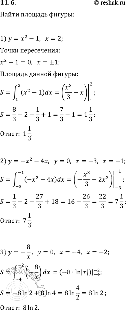
11.6. Найдите площадь криволинейной трапеции, ограниченной линиями: 1) y=x^2-1,y=0, x=2; 2) y=-x^2-4x, y=0, x=-3, x=-1; 3) y=-8/x, y=0, x=-4, x=-2; 4) y=1/(x+2)^2, y=0, x=-1, x=1;


Ниже вариант решения задания из учебника Мерзляк, Номировский, Полонский 11 класс, Просвещение:
11.6. Найдите площадь криволинейной трапеции, ограниченной линиями:
1) y=x^2-1,y=0, x=2;
2) y=-x^2-4x, y=0, x=-3, x=-1;
3) y=-8/x, y=0, x=-4, x=-2;
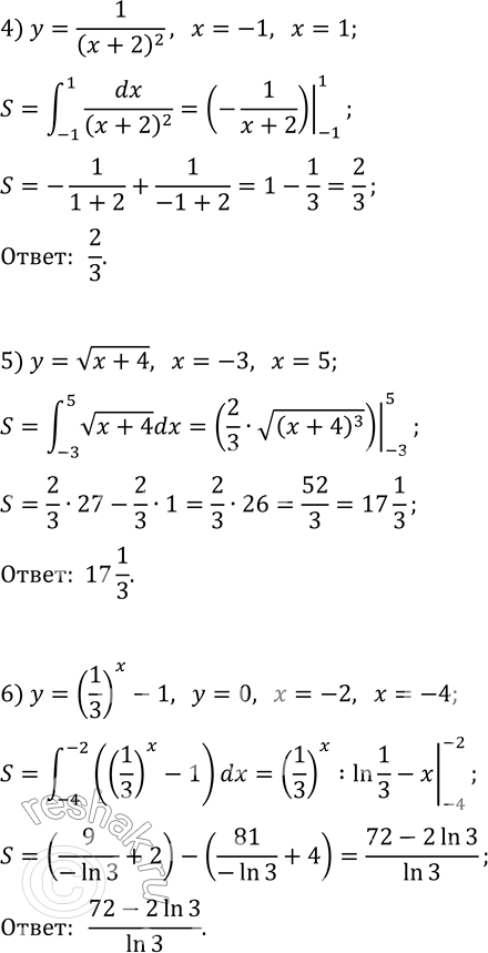
4) y=1/(x+2)^2, y=0, x=-1, x=1;
5) y=v(x+4), y=0, x=-3, x=5;
6) y=(1/3)^x-1, y=0, x=-2, x=-4.
