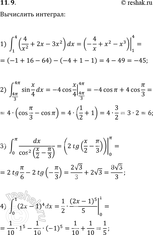
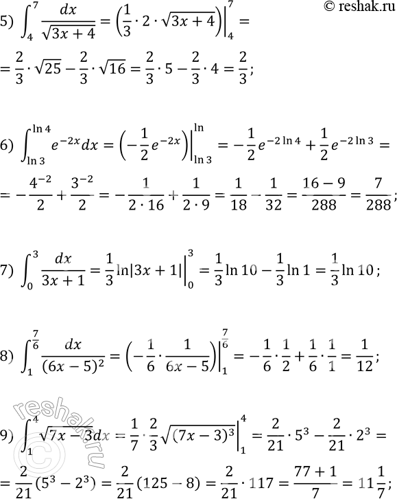
Упражнение 11.9 ГДЗ Мерзляк 11 класс Базовый уровень (Алгебра)
11.9. Вычислите определённый интеграл: 1) ?(1; 4)(4/x^2+2x-3x^2)dx; 4) ?(0; 1)(2x-1)^4dx; 7) ?(0; 3)dx/(3x+1); 2) ?(4?/3; 4?)sin(x/4)dx; 5) ?(4; 7)dx/v(3x+4); 8) ?(1;


Ниже вариант решения задания из учебника Мерзляк, Номировский, Полонский 11 класс, Просвещение:
11.9. Вычислите определённый интеграл:
1) ?(1; 4)(4/x^2+2x-3x^2)dx; 4) ?(0; 1)(2x-1)^4dx; 7) ?(0; 3)dx/(3x+1);
2) ?(4?/3; 4?)sin(x/4)dx; 5) ?(4; 7)dx/v(3x+4); 8) ?(1; 7/6)dx/(6x-5)^2;
3) ?(0; ?)dx/cos^2(x/2-?/3); 6) ?(ln 3; ln 4)e^(-2x)dx; 9) ?(1; 4)v(7x-3)dx.
