Упражнение 11.8 ГДЗ Мерзляк 11 класс Базовый уровень (Алгебра)
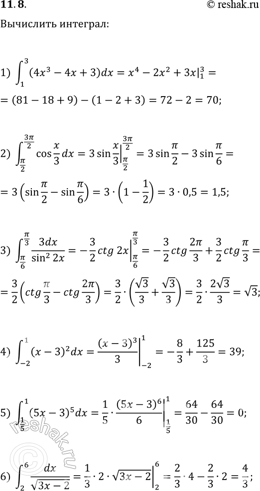
11.8. Вычислите определённый интеграл: 1) ?(1; 3)(4x^3-4x+3)dx; 2) ?(?/2; 3?/2)cos(x/3)dx; 3) ?(?/6; ?/3)3dx/sin^2(2x); 4) ?(-2; 1)(x-3)^2dx; 7) ?(-1; 1)dx/(3-2x); 10) ?(-6;


Ниже вариант решения задания из учебника Мерзляк, Номировский, Полонский 11 класс, Просвещение:
11.8. Вычислите определённый интеграл:
1) ?(1; 3)(4x^3-4x+3)dx; 2) ?(?/2; 3?/2)cos(x/3)dx; 3) ?(?/6; ?/3)3dx/sin^2(2x);
4) ?(-2; 1)(x-3)^2dx; 7) ?(-1; 1)dx/(3-2x); 10) ?(-6; 0)e^(-x/6)dx;
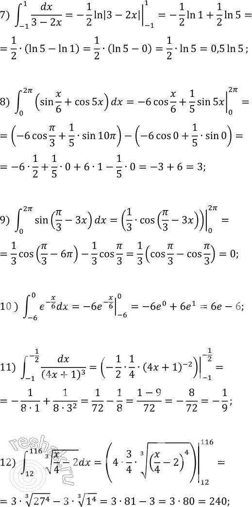
5) ?(1/5; 1)(5x-3)^5dx; 8) ?(0; 2?)(sin(x/6)+cos(5x))dx; 11) ?(-1; -1/2)dx/(4x+1)^3;
6) ?(2; 6)dx/v(3x-2); 9) ?(0; 2?)sin(?/3-3x)dx; 12) ?(12; 116)(x/4-2)^(1/3)dx.
