Упражнение 11.7 ГДЗ Мерзляк 11 класс Базовый уровень (Алгебра)
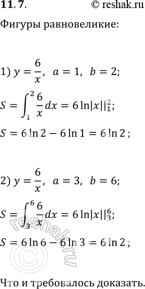
11.7. Докажите, что криволинейные трапеции, закрашенные на рисунке 11.13, равновелики. *Цитирирование задания со ссылкой на учебник производится исключительно в учебных целях для лучшего понимания разбора решения задания.

Ниже вариант решения задания из учебника Мерзляк, Номировский, Полонский 11 класс, Просвещение:
11.7. Докажите, что криволинейные трапеции, закрашенные на рисунке 11.13, равновелики.
