Упражнение 8.1 ГДЗ Мерзляк 11 класс Базовый уровень (Алгебра)
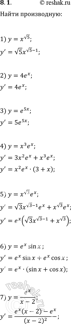
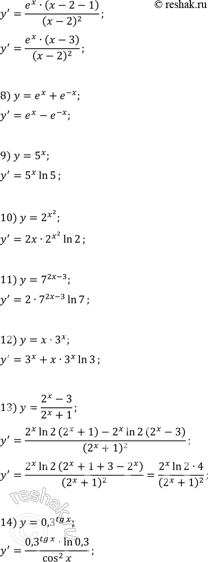
8.1. Найдите производную функции: 1) y=x^v5; 6) y=e^x sin(x); 11) y=7^(2x-3); 2) y=4e^x; 7) y=e^x/(x-2); 12) y=x·3^x; 3) y=e^(5x); 8) y=e^x+e^(-x);


Ниже вариант решения задания из учебника Мерзляк, Номировский, Полонский 11 класс, Просвещение:
8.1. Найдите производную функции:
1) y=x^v5; 6) y=e^x sin(x); 11) y=7^(2x-3);
2) y=4e^x; 7) y=e^x/(x-2); 12) y=x·3^x;
3) y=e^(5x); 8) y=e^x+e^(-x); 13) y=(2^x-3)/(2^x+1);
4) y=x^3 e^x; 9) y=5^x; 14) y=0,3^tg(x).
5) y=x^v3 e^x; 10) y=2^x^2;
