Упражнение 8.6 ГДЗ Мерзляк 11 класс Базовый уровень (Алгебра)
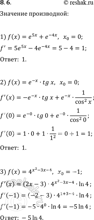
8.6. Вычислите значение производной функции f в точке х_0: 1) f(x)=e^(5x)+e^(-4x), x_0=0; 2) f(x)=e^(-x) tg(x), x_0=0; 3) f(x)=4^(x^2-3x-4), x_0=-1. *Цитирирование задания со ссылкой на учебник производится исключительно в учебных целях для лучшего понимания разбора решения задания.

Ниже вариант решения задания из учебника Мерзляк, Номировский, Полонский 11 класс, Просвещение:
8.6. Вычислите значение производной функции f в точке х_0:
1) f(x)=e^(5x)+e^(-4x), x_0=0;
2) f(x)=e^(-x) tg(x), x_0=0;
3) f(x)=4^(x^2-3x-4), x_0=-1.
