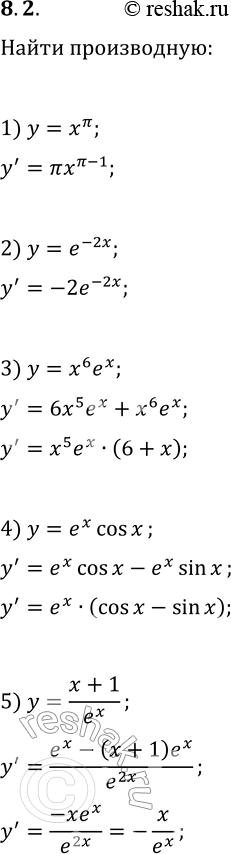
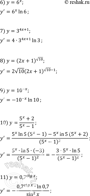
Упражнение 8.2 ГДЗ Мерзляк 11 класс Базовый уровень (Алгебра)
8.2. Найдите производную функции: 1) y=x^?; 5) y=(x+1)/e^x; 9) y=10^(-x); 2) y=e^(-2x); 6) y=6^x; 10) y=(5^x+2)/(5^x-1); 3) y=x^6 e^x; 7) y=3^(4x+1);


Ниже вариант решения задания из учебника Мерзляк, Номировский, Полонский 11 класс, Просвещение:
8.2. Найдите производную функции:
1) y=x^?; 5) y=(x+1)/e^x; 9) y=10^(-x);
2) y=e^(-2x); 6) y=6^x; 10) y=(5^x+2)/(5^x-1);
3) y=x^6 e^x; 7) y=3^(4x+1); 11) y=0,7^ctg(x).
4) y=e^x cos(x); 8) y=(2x+1)^v10;
