Упражнение 8.5 ГДЗ Мерзляк 11 класс Базовый уровень (Алгебра)
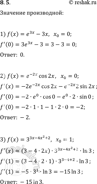
8.5. Вычислите значение производной функции f в точке x_0: 1) f(x)=e^(3x)-3x, x_0=0; 2) f(x)=e^(-2x) cos(2x), x_0=0; 3) f(x)=3^(3x-4x^2+2), x_0=1. *Цитирирование задания со ссылкой на учебник производится исключительно в учебных целях для лучшего понимания разбора решения задания.

Ниже вариант решения задания из учебника Мерзляк, Номировский, Полонский 11 класс, Просвещение:
8.5. Вычислите значение производной функции f в точке x_0:
1) f(x)=e^(3x)-3x, x_0=0;
2) f(x)=e^(-2x) cos(2x), x_0=0;
3) f(x)=3^(3x-4x^2+2), x_0=1.
