Упражнение 8.4 ГДЗ Мерзляк 11 класс Базовый уровень (Алгебра)
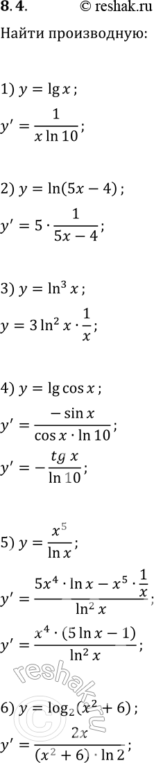
8.4. Найдите производную функции: 1) y=lg x; 3) y=ln^3 x; 5) y=x^5/ln x; 2) y=ln (5x-4); 4) y=lg cos(x); 6) y=log_2 (x^2+6).

Ниже вариант решения задания из учебника Мерзляк, Номировский, Полонский 11 класс, Просвещение:
8.4. Найдите производную функции:
1) y=lg x; 3) y=ln^3 x; 5) y=x^5/ln x;
2) y=ln (5x-4); 4) y=lg cos(x); 6) y=log_2 (x^2+6).
