Упражнение 8.3 ГДЗ Мерзляк 11 класс Базовый уровень (Алгебра)
8.3. Найдите производную функции: 1) y=log_9 x; 6) y=ln x/x^3; 2) y=ln (2x); 7) y=log_0,2 (2x^2+x-4); 3) y=lg (x^2-4); 8) y=ln (1-0,2x);


Ниже вариант решения задания из учебника Мерзляк, Номировский, Полонский 11 класс, Просвещение:
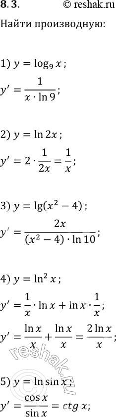
8.3. Найдите производную функции:
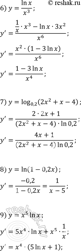
1) y=log_9 x; 6) y=ln x/x^3;
2) y=ln (2x); 7) y=log_0,2 (2x^2+x-4);
3) y=lg (x^2-4); 8) y=ln (1-0,2x);
4) y=ln^2 x; 9) y=x^5 ln x.
5) y=ln sin(x);
