Упражнение 3.46 ГДЗ Дорофеев Суворова 7 класс (Алгебра)
Раскройте скобки и упростите получившееся выражение: а) (х + у) + (у - х); б) (a-b)-(а- Ь); в) (с - d) - (с + d);

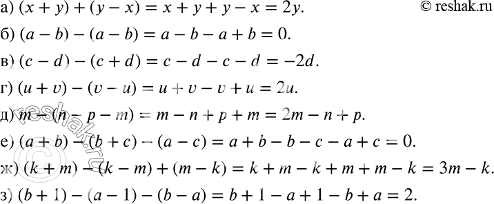
Ниже вариант решения задания из учебника Дорофеев, Суворова, Бунимович 7 класс, Просвещение:
Раскройте скобки и упростите получившееся выражение:
а) (х + у) + (у - х);
б) (a-b)-(а- Ь);
в) (с - d) - (с + d);
г) (u + v) - (v - u);
д) m - (n -р - m);
е) (а + b) - (b + с) - (а - с);
ж) (k + m) - (k - m) + (m - к);
з) (b + 1)-(а- 1)-(b-а).
