Упражнение 3.47 ГДЗ Дорофеев Суворова 7 класс (Алгебра)
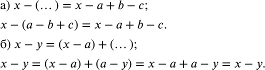
Рассуждаем Восстановите сумму в скобках: а) х - (...) = х - а + b - с; б) х - у = (х - а) + (...).

Ниже вариант решения задания из учебника Дорофеев, Суворова, Бунимович 7 класс, Просвещение:
Рассуждаем Восстановите сумму в скобках:
а) х - (...) = х - а + b - с;
б) х - у = (х - а) + (...).
