Упражнение 3.48 ГДЗ Дорофеев Суворова 7 класс (Алгебра)
Запишите и упростите сумму: а) трёх последовательных натуральных чисел, начиная с числа n; б) пяти последовательных натуральных чисел, начиная с n;

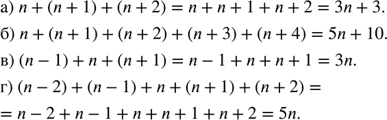
Ниже вариант решения задания из учебника Дорофеев, Суворова, Бунимович 7 класс, Просвещение:
Запишите и упростите сумму:
а) трёх последовательных натуральных чисел, начиная с числа n;
б) пяти последовательных натуральных чисел, начиная с n;
в) трёх последовательных натуральных чисел, среднее из которых равно n;
г) пяти последовательных натуральных чисел, среднее из которых равно n.
