Упражнение 3.57 ГДЗ Дорофеев Суворова 7 класс (Алгебра)
Рассуждаем Расставьте скобки так, чтобы выражение в левой части равенства было равно выражению в правой части: а) х - х - х = х;

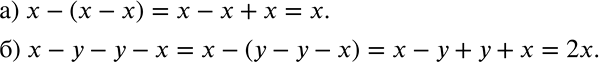
Ниже вариант решения задания из учебника Дорофеев, Суворова, Бунимович 7 класс, Просвещение:
Рассуждаем Расставьте скобки так, чтобы выражение в левой части равенства было равно выражению в правой части:
а) х - х - х = х; б )х-у-у-х = 2х.
