Упражнение 3.56 ГДЗ Дорофеев Суворова 7 класс (Алгебра)
Упростите: а) с(а + 1) - с; б) 1/4* (8b-2)-1; в) m(1 + m) - (m - 1); г) 1/3* (3k + 9)-k.

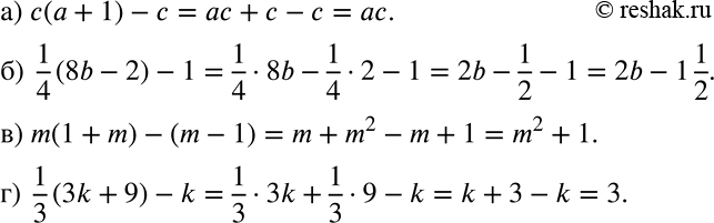
Ниже вариант решения задания из учебника Дорофеев, Суворова, Бунимович 7 класс, Просвещение:
Упростите:
а) с(а + 1) - с;
б) 1/4* (8b-2)-1;
в) m(1 + m) - (m - 1);
г) 1/3* (3k + 9)-k.
