Упражнение 3.55 ГДЗ Дорофеев Суворова 7 класс (Алгебра)
Раскройте скобки в произведении: a) 1/4* (4x - 16); б) -1/3* (3x + 12); в) (2х - 3у) * (-3); г) 2m (m - n);

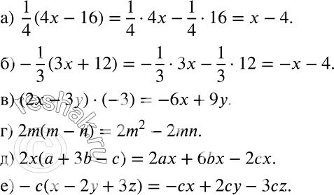
Ниже вариант решения задания из учебника Дорофеев, Суворова, Бунимович 7 класс, Просвещение:
Раскройте скобки в произведении:
a) 1/4* (4x - 16);
б) -1/3* (3x + 12);
в) (2х - 3у) * (-3);
г) 2m (m - n);
д) 2х (а + 3b - с);
е) -с(х -2у + 3z).
