Упражнение 6.111 ГДЗ Дорофеев Суворова 7 класс (Алгебра)
Действуем по правилу (702 — 704): 702 Представьте произведение в виде многочлена: а) (с + 8)(с + 2); б) (b + 5)(b - 2);

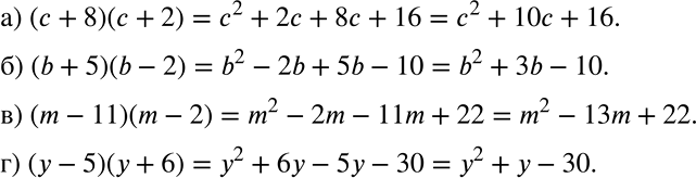
Ниже вариант решения задания из учебника Дорофеев, Суворова, Бунимович 7 класс, Просвещение:
Действуем по правилу (702 — 704):
702 Представьте произведение в виде многочлена:
а) (с + 8)(с + 2);
б) (b + 5)(b - 2);
в) (m - 11)(m - 2);
г) (у - 5)(y + 6).
