Упражнение 6.112 ГДЗ Дорофеев Суворова 7 класс (Алгебра)
Выполните умножение (703-704): а) (2m + 1)(2m + 5); б) (3х + 2)(х + 3); в) (5m - 1)(m + 1);

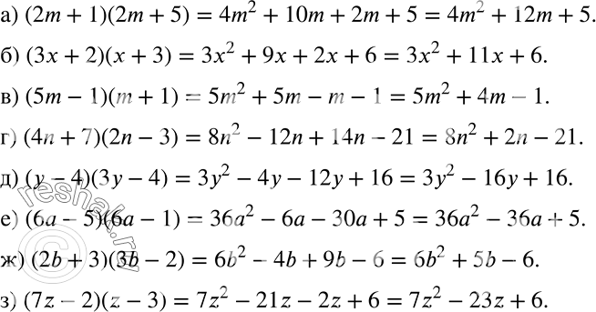
Ниже вариант решения задания из учебника Дорофеев, Суворова, Бунимович 7 класс, Просвещение:
Выполните умножение (703-704):
а) (2m + 1)(2m + 5);
б) (3х + 2)(х + 3);
в) (5m - 1)(m + 1);
г) (4n + 7)(2n - 3);
д) (у - 4)(3у - 4);
е) (6a - 5)(6a - 1);
ж) (2b + 3)(3b - 2);
з) (7z - 2)(z - 3).
