Упражнение 6.114 ГДЗ Дорофеев Суворова 7 класс (Алгебра)
Запишите степень двучлена в виде произведения и выполните умножение: а) (х + у)2; б) (а - с)2; в) (m + 2)2;

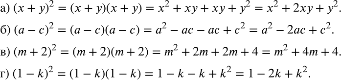
Ниже вариант решения задания из учебника Дорофеев, Суворова, Бунимович 7 класс, Просвещение:
Запишите степень двучлена в виде произведения и выполните умножение:
а) (х + у)2;
б) (а - с)2;
в) (m + 2)2;
г) (1 - k)2.
