Упражнение 6.116 ГДЗ Дорофеев Суворова 7 класс (Алгебра)
Разбираем способ решения Иногда удобно умножать многочлены в столбик, подписывая многочлены один под другим и умножая по очереди слева направо каждый член первого многочлена на второй многочлен:

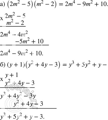
Ниже вариант решения задания из учебника Дорофеев, Суворова, Бунимович 7 класс, Просвещение:
Разбираем способ решения Иногда удобно умножать многочлены в столбик, подписывая многочлены один под другим и умножая по очереди слева направо каждый член первого многочлена на второй многочлен:
2а + 3х
5а - 1
10а2 - 2а — умножили 2а на 5а - 1.
15а - 3 — умножили 3 на 5а - 1.
10а2 + 13а - 3
Выполните таким образом умножение:
а) (2m2- 5)(m2 - 2);
б) (у + 1 )(у2 + 4у - 3).
