Упражнение 6.17 ГДЗ Дорофеев Суворова 7 класс (Алгебра)
Представьте выражение в виде степени с основанием а: а) aka2k; б) a^(k + 1)ak; в) aaka^(2-k); г) а^(k-1)а2; д) aaka^(k-1); е) а^(k + 1)а^(k-1).

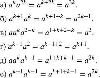
Ниже вариант решения задания из учебника Дорофеев, Суворова, Бунимович 7 класс, Просвещение:
Представьте выражение в виде степени с основанием а:
а) aka2k;
б) a^(k + 1)ak;
в) aaka^(2-k);
г) а^(k-1)а2;
д) aaka^(k-1);
е) а^(k + 1)а^(k-1).
