Упражнение 6.20 ГДЗ Дорофеев Суворова 7 класс (Алгебра)
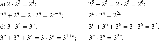
АНАЛИ3ИРУЕМ И РАССУЖДАЕМ (555 — 556) 555 Представьте каждое из выражений в виде степени: а) 2 * 2^3, 2^5 + 2^5, 2n + 2n, 2n * 2n;

Ниже вариант решения задания из учебника Дорофеев, Суворова, Бунимович 7 класс, Просвещение:
АНАЛИ3ИРУЕМ И РАССУЖДАЕМ (555 — 556)
555 Представьте каждое из выражений в виде степени:
а) 2 * 2^3, 2^5 + 2^5, 2n + 2n, 2n * 2n;
б) 3-3^4, 3^6 + 3^6 + 3^6, 3n + 3n + 3n, 3n * 3n.
