Упражнение 6.21 ГДЗ Дорофеев Суворова 7 класс (Алгебра)
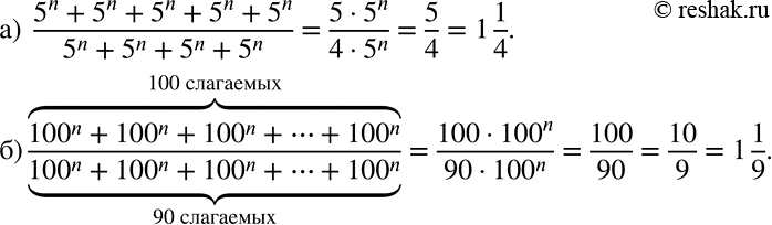
Вычислите: а) (5n + 5n + 5n + 5n + 5n)/(5n + 5n + 5n + 5n); б) (100n + 100n + 100n + ...

Ниже вариант решения задания из учебника Дорофеев, Суворова, Бунимович 7 класс, Просвещение:
Вычислите:
а) (5n + 5n + 5n + 5n + 5n)/(5n + 5n + 5n + 5n);
б) (100n + 100n + 100n + ... + 100n) 100 слагаемых / (100n + 100n + 100n + ... + 100n) 90 слагаемых.
