Упражнение 6.18 ГДЗ Дорофеев Суворова 7 класс (Алгебра)
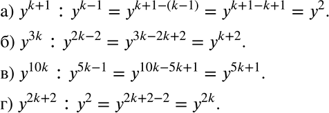
Представьте выражение в виде степени с основанием у: а) у^(k + 1): у^(k-1); б) у3к:у^(2к-2); в) y10k: у^(5k-1); г) y^(2k+2):y2. *Цитирирование задания со ссылкой на учебник производится исключительно в учебных целях для лучшего понимания разбора решения задания.

Ниже вариант решения задания из учебника Дорофеев, Суворова, Бунимович 7 класс, Просвещение:
Представьте выражение в виде степени с основанием у:
а) у^(k + 1): у^(k-1);
б) у3к:у^(2к-2);
в) y10k: у^(5k-1);
г) y^(2k+2):y2.
