Упражнение 6.19 ГДЗ Дорофеев Суворова 7 класс (Алгебра)
Представьте выражение в виде дроби: а) a^(m-n); б) x^(m-2); в) y^(10 -m); г) b^(m-1). *Цитирирование задания со ссылкой на учебник производится исключительно в учебных целях для лучшего понимания разбора решения задания.

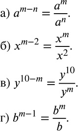
Ниже вариант решения задания из учебника Дорофеев, Суворова, Бунимович 7 класс, Просвещение:
Представьте выражение в виде дроби:
а) a^(m-n);
б) x^(m-2);
в) y^(10 -m);
г) b^(m-1).
