Упражнение 6.22 ГДЗ Дорофеев Суворова 7 класс (Алгебра)
Выполните действие: а) (y^5)^3; б) (n^8)^3; в) 2(а^3)^5; г) -4(у^4)^2; д) -(с^6)^2. *Цитирирование задания со ссылкой на учебник производится исключительно в учебных целях для лучшего понимания разбора решения задания.

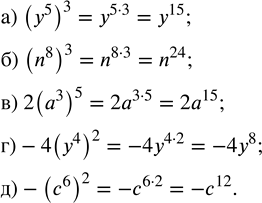
Ниже вариант решения задания из учебника Дорофеев, Суворова, Бунимович 7 класс, Просвещение:
Выполните действие:
а) (y^5)^3; б) (n^8)^3; в) 2(а^3)^5; г) -4(у^4)^2; д) -(с^6)^2.
