Упражнение 7.15 ГДЗ Дорофеев Суворова 7 класс (Алгебра)
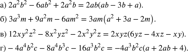
Вынесите общий множитель за скобки: а) 2a2b2 - 6ab2 + 2а2b; б) 3а3m + 9а2m - 6аm2; в) 12xy2z2 - 8x2yz2 - 2x2y2z;

Ниже вариант решения задания из учебника Дорофеев, Суворова, Бунимович 7 класс, Просвещение:
Вынесите общий множитель за скобки:
а) 2a2b2 - 6ab2 + 2а2b;
б) 3а3m + 9а2m - 6аm2;
в) 12xy2z2 - 8x2yz2 - 2x2y2z;
г) -4а4b2с - 8а4b3с - 16a3b2с.
