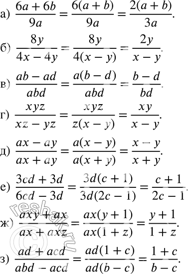
Упражнение 7.12 ГДЗ Дорофеев Суворова 7 класс (Алгебра)
Сократите дробь (822—823). 822 а) (6a + 6b)/9a; б) 8y/(4x - 4y); в) (ab-ad)/abd; г) xyz/(xz-yz); д) (ax-ay)/(ax+ay); е) (3cd + 3d)/(6cd - 3d);

Ниже вариант решения задания из учебника Дорофеев, Суворова, Бунимович 7 класс, Просвещение:
Сократите дробь (822—823).
822 а) (6a + 6b)/9a;
б) 8y/(4x - 4y);
в) (ab-ad)/abd;
г) xyz/(xz-yz);
д) (ax-ay)/(ax+ay);
е) (3cd + 3d)/(6cd - 3d);
ж) (axy + ax)/(ax + axz);
з) (ad + acd)/(abd - acd).
