Упражнение 7.13 ГДЗ Дорофеев Суворова 7 класс (Алгебра)
а) (ay - az)/(by - bz); б) (3+6c)/(2+4c); в) (a2 - ab)/(ab-b2); г) (ax +2x)/(ay+2y); д) (2c - 8cx)/(3a-12ax); е) (an + n2)/(an+a2);

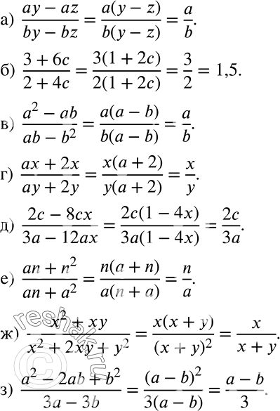
Ниже вариант решения задания из учебника Дорофеев, Суворова, Бунимович 7 класс, Просвещение:
а) (ay - az)/(by - bz);
б) (3+6c)/(2+4c);
в) (a2 - ab)/(ab-b2);
г) (ax +2x)/(ay+2y);
д) (2c - 8cx)/(3a-12ax);
е) (an + n2)/(an+a2);
ж) (x2+xy)/(x2+2xy+y2);
з) (a2-2ab + b2)/(3a-3b).
