Упражнение 7.10 ГДЗ Дорофеев Суворова 7 класс (Алгебра)
Разложите на множители (820—821). 820 а) nm2 + mn + n2; б) -m3 - m2n - mn2; в) ах2 + а2х - ах;

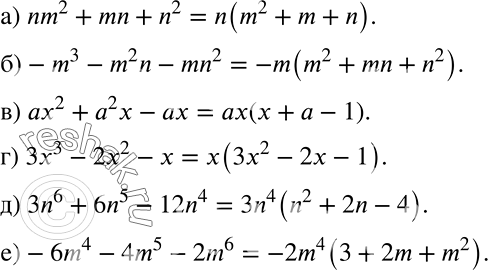
Ниже вариант решения задания из учебника Дорофеев, Суворова, Бунимович 7 класс, Просвещение:
Разложите на множители (820—821).
820 а) nm2 + mn + n2;
б) -m3 - m2n - mn2;
в) ах2 + а2х - ах;
г) 3x3 - 2x2 - х;
д) 3n6 + 6n5 — 12n4;
е) -6m4 - 4m5 - 2m6.
