Упражнение 7.14 ГДЗ Дорофеев Суворова 7 класс (Алгебра)
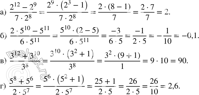
Применяем алгебру Вычислите: а) (2^12 - 2^9)/(7*2^8); б) (2*5^10 - 5^11)/(6*5^11); в) (3^12 + 3^10)/3^8; г) (5^8 + 5^6)/(2 * 5^7).

Ниже вариант решения задания из учебника Дорофеев, Суворова, Бунимович 7 класс, Просвещение:
Применяем алгебру Вычислите:
а) (2^12 - 2^9)/(7*2^8);
б) (2*5^10 - 5^11)/(6*5^11);
в) (3^12 + 3^10)/3^8;
г) (5^8 + 5^6)/(2 * 5^7).
